• Предмет: Геометрия
  • Автор: vika7307
  • Вопрос задан 8 лет назад

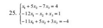
Фото снизу! Матрица

Приложения:

Ответа на этот вопрос пока нет. Попробуйте найти его через форму поиска.

Вас заинтересует