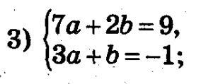
Ребята помогите пожалусто срочно очень.Решите методом подстановки систему уравнений. Ответьте на два вопроса.
1) Выразите переменную а через b или b через a.Запишить соответствующее выражение.
2) Запишите ответ системы
Приложения:

Ответа на этот вопрос пока нет. Попробуйте найти его через форму поиска.
Вас заинтересует
2 года назад
3 года назад
8 лет назад