• Предмет: Геометрия
  • Автор: malaakata903
  • Вопрос задан 8 лет назад

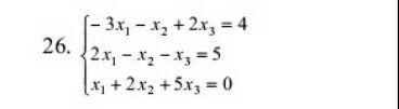
Помогите с матрицей!

Приложения:

Ответа на этот вопрос пока нет. Попробуйте найти его через форму поиска.

Вас заинтересует