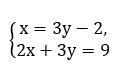
Визначте, у якій з наведених нижче рівностей правильно виконано підстановку для розв'язування системи рівнянь
ПЛИЗ РЕШИТЕ СРОЧНО ДАЮ 25 БАЛЛОВ
Приложения:

Ответа на этот вопрос пока нет. Попробуйте найти его через форму поиска.
Вас заинтересует
2 года назад
2 года назад
3 года назад
3 года назад
8 лет назад
8 лет назад
9 лет назад