• Предмет: Алгебра
  • Автор: polinastepanets123
  • Вопрос задан 8 лет назад

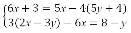
Розв'язати систему лінійних рівнянь з двома змінними способом підстановки, у відповідь запишіть значення х.
СРОЧНО!!! 25 БАЛЛОВ

Приложения:

Ответы

Ответ дал: acre4cko2015
0

Ответ:

(x,y)=(1,-1)

Объяснение:

left { {{6x+3=5x-4(5y+4)} atop {y=-1}} right.

6x+3=5x-4(5x(-1)+4)

x=1

(x,y)=(1,-1)

left { {{6*1+3=5*1-4(5*(-1)+4)} atop {3(2*1-3*(-1))-6*1=8-(-1)}} right.

left { {{9=9} atop {9=9}} right.

(x,y)=(1,-1)

Вас заинтересует