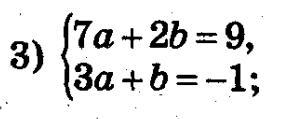
Ребята помогите пожалусто срочноооооо.Розв'яжіть методом підстановки систему рівнянь. Дайте відповіді на два питання.
1)Виразіть змінну а через b або b через a.Запишіть відповідний вираз.
2)Запишіть відповідь системи
Приложения:

Ответы
Ответ дал:
0
Ответ: 1) в=-1-3а
2) а=11, в=-34
Приложения:

Вас заинтересует
1 год назад
1 год назад
3 года назад
3 года назад