• Предмет: Алгебра
  • Автор: tinamnedinami184
  • Вопрос задан 8 лет назад

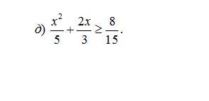
решить неравенство на фото

Приложения:

Ответа на этот вопрос пока нет. Попробуйте найти его через форму поиска.

Вас заинтересует