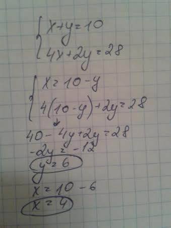
Сума двох чисел дорівнює 10.Якщо одне число збільшити у 4 рази,а друге у 2 рази,то сума нових чисел буде дорівнювати 28.Знайдіть ці числа.
плиз очень надо на завтра матёша первий урок помогите!!!плиз
Ответы
Ответ дал:
0
...............................
Приложения:

Вас заинтересует
2 года назад
2 года назад
8 лет назад
8 лет назад
10 лет назад
10 лет назад
10 лет назад