• Предмет: Алгебра
  • Автор: guccigang032
  • Вопрос задан 8 лет назад

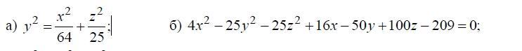
Помогите пожалуйся "Определить тип поверхности и построить их."

Приложения:

Ответа на этот вопрос пока нет. Попробуйте найти его через форму поиска.

Вас заинтересует