• Предмет: Алгебра
  • Автор: romashevchenko007
  • Вопрос задан 8 лет назад

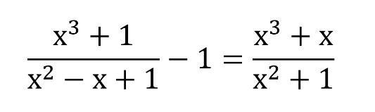
Докажите тождество 20 баллов

Приложения:

Ответы

Ответ дал: acre4cko2015
0

Ответ:

x∈R

Объяснение:

frac{x^{3}+1 }{x^{2}-x+1 }-1=frac{x^{3}+x }{x^{2}+1 },x∈R

frac{(x+1)*(x^{2}-x+1) }{x^{2}-x+1 }-1=frac{x*(x^{2}+1) }{x^{2}+1 }

x+1-1=x

0=0

x∈R

Вас заинтересует