• Предмет: Алгебра
  • Автор: posobtseyyvvvv
  • Вопрос задан 8 лет назад

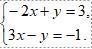
ПОМОГИТЕ . Решите систему уравнений способом подстановки:

Приложения:

Ответы

Ответ дал: postoutenko30
0

Ответ:

-2х+у+3х-у=2

-х=2

х=-2

4+у=3

у=-1

(-2;-1)

Объяснение:

Вас заинтересует