• Предмет: Алгебра
  • Автор: maryyyyyyyyyyy81
  • Вопрос задан 8 лет назад

Решить систему методом постановки!!!​

Приложения:

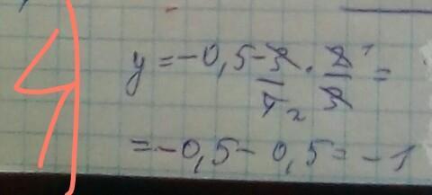
Ответы

Ответ дал: Мозгокошка
0

Пишу,потому что надо 20 символов

Приложения:
Вас заинтересует