Ответы
Ответ дал:
1
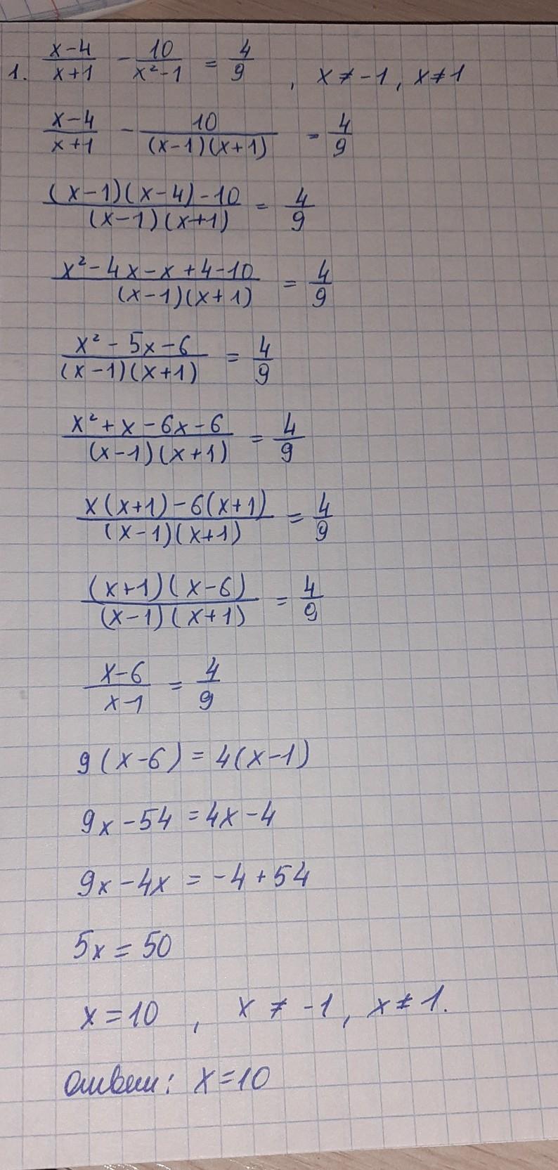
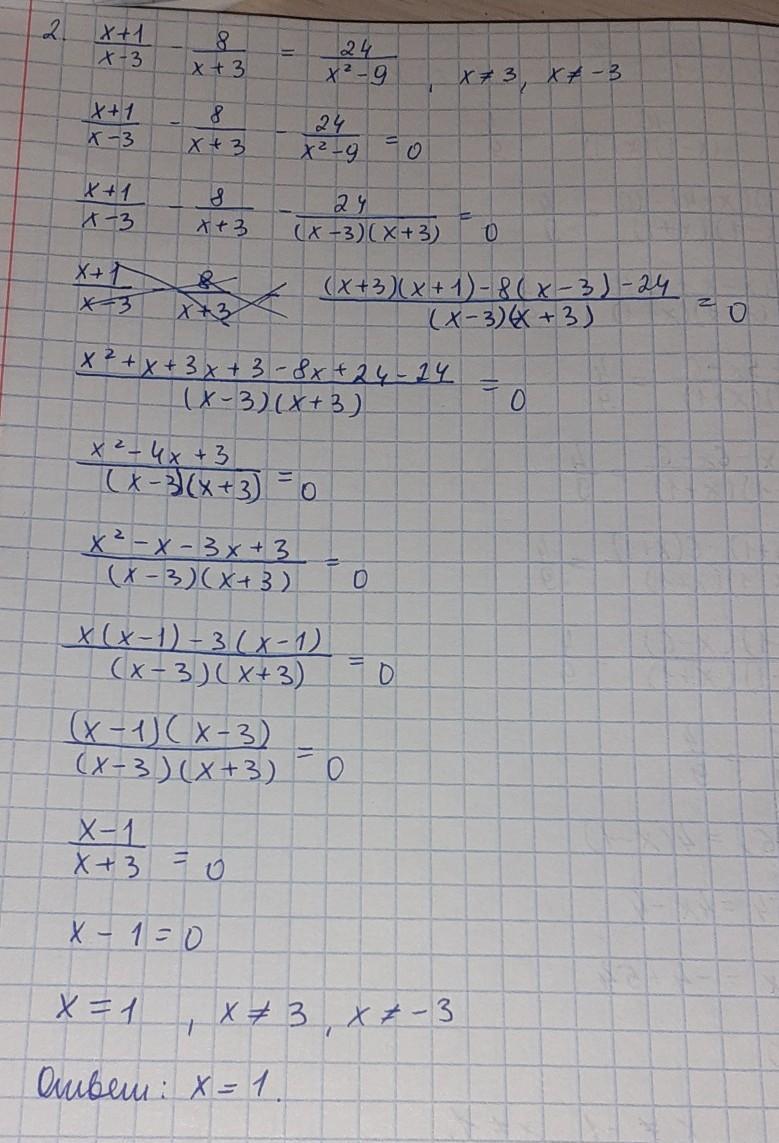
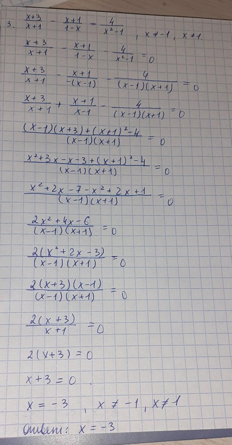
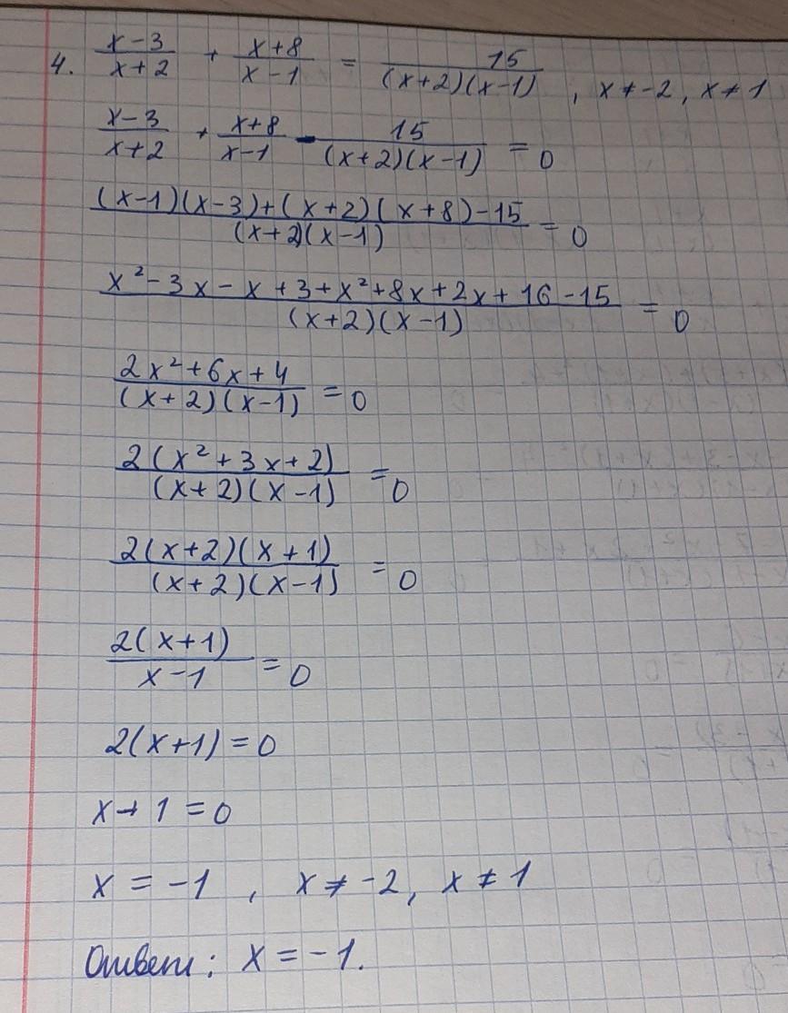
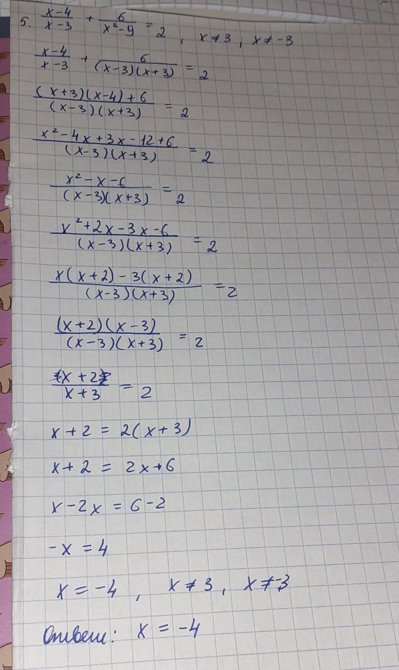
Решение на фото (6,7 и 8 не влезает, больше 5 фото добавлять нельзя)
Приложения:





Вас заинтересует
1 год назад
1 год назад
1 год назад
3 года назад
3 года назад
8 лет назад