• Предмет: Математика
  • Автор: Glumyashechka
  • Вопрос задан 8 лет назад

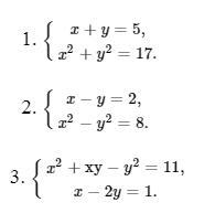
Решите пожалуйста 3 системы уравнений.
Подробно.

Приложения:

Ответа на этот вопрос пока нет. Попробуйте найти его через форму поиска.

Вас заинтересует