• Предмет: Алгебра
  • Автор: oleksandrastepanenko
  • Вопрос задан 8 лет назад

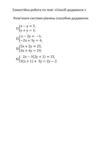
помогите!!!!!!!!!! СРОЧНО!!!!!!!!!!!!

Приложения:

Ответы

Ответ дал: nhristin
0

Ответ:

1)х=5

у=1

..' і так далі

Вас заинтересует