Ответы
Ответ дал:
0
Ответ:
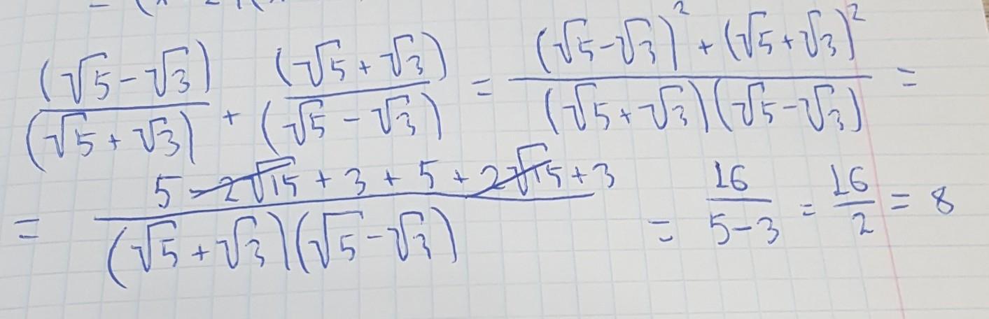
8
Объяснение:
Решение на фотографии!!!!!!!!!!!!
Приложения:

Вас заинтересует
2 года назад
3 года назад
8 лет назад
8 лет назад
9 лет назад