• Предмет: Алгебра
  • Автор: renesmee15
  • Вопрос задан 8 лет назад

1)
 frac{x - 8}{4x {}^{2} }  -  frac{5 - 12x}{6x {}^{3} }
2)
 frac{20 }{a  {}^{2 }    + 4a}  -  frac{5}{a}
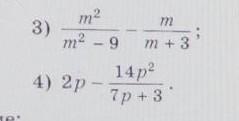
3) и 4) на фото

Выполнить вычитания!
7 класс
помогите пожалуйста ​

Приложения:

Ответа на этот вопрос пока нет. Попробуйте найти его через форму поиска.

Вас заинтересует