• Предмет: Математика
  • Автор: nekitlisov
  • Вопрос задан 8 лет назад

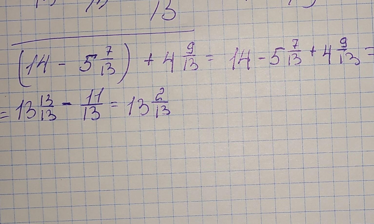
Обчислити ( 14 - 5 7/13) + 4 9/13

Ответы

Ответ дал: orestpopruzhuk
0

Ответ:( 14 - 5 7/13) + 4 9/13=14-5 7/13+4 9/13=13 13/13-11/13=13 2/13

Ответ дал: naaasstayk
0

Ответ:

Вооот

............

Приложения:
Ответ дал: naaasstayk
0
а исправить не могу чтобы понятно было, сейчас фотографию добавлю с решением
Вас заинтересует