• Предмет: Математика
  • Автор: itiswolf72
  • Вопрос задан 8 лет назад

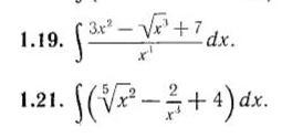
Умоляю, решите интегралы подробно...

Приложения:

Ответа на этот вопрос пока нет. Попробуйте найти его через форму поиска.

Вас заинтересует