• Предмет: Алгебра
  • Автор: qfedor
  • Вопрос задан 8 лет назад

даю 30 баллов! срочно пж!
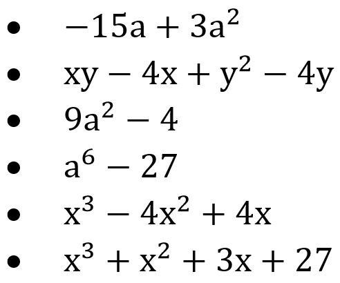
Докажите тождество

Приложения:

Ответы

Ответ дал: romashevchenko007
0

Ответ: 1. -15а+3а²=-3а(5-а)

2. ху-4х+у²-4у=у(х+у)-4(х+у)=(х+у)(у-4)

3. 9а²-4=(3а-2)(3а+2)

4. а^6-27=(а²)³-3³=(а²-3)(а⁴+3а²+9)

5. х³-4х²+4х=х(х²-4х+4)=х(х-2)²=х(х-2)(х-2)

6. х³+х²+3х+27=(х³+3³)+(3х+х²)=(х+3)(х²-3х+9)+х(3+х)=(х+3)(х+х²-3х+9)

Объяснение: У меня правильно

Ответ дал: romashevchenko007
0
Умник малолетний
Вас заинтересует