!!!!СРОЧНО!!!!ДАМ 13Б!!!
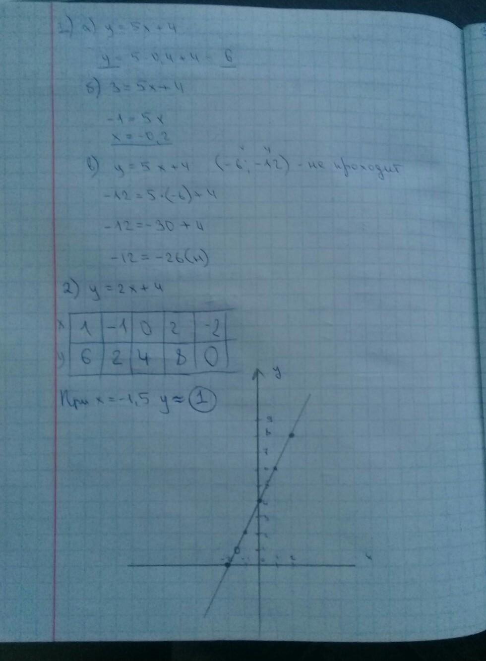
1. Функция задана формулой y = 5х + 4. Определите:
а) значение y, если х = 0,4
б) значение х, при котором у = 3
в) проходит ли график функции через очку с координатами (- 6; -12)
2. Постройте график функции у = 2х + 4. По графику укажите, чему равно значение у, при х = - 1,5.
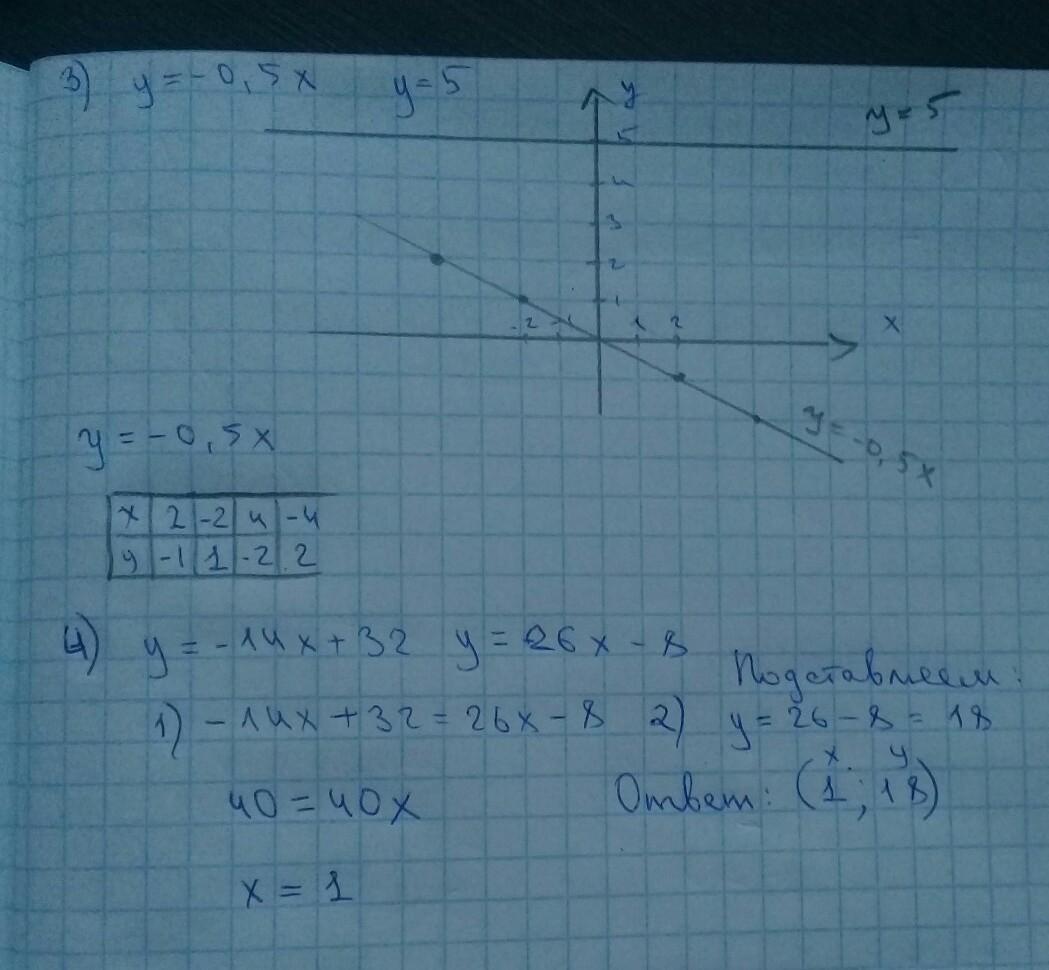
3. В одной системе координат постройте графики функций у = - 0,5х и у = 5.
4. Аналитически найдите координаты точки пересечения графиков функций:
у = - 14х + 32 и у = 26х – 8. (правые части формул приравнять, решить уравнение, найти координаты точки пересечения, ответ записать в виде (х;у))
Ответы
Ответ дал:
0
Ответ:
Решение на фотографии
Приложения:


Ответ дал:
0
Ответ:
Решение на листиках, что не понятно, спрашивай))
Приложения:


Вас заинтересует
2 года назад
2 года назад
3 года назад
3 года назад
8 лет назад
8 лет назад
9 лет назад