• Предмет: Математика
  • Автор: EarthColonel
  • Вопрос задан 8 лет назад

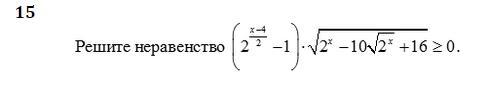
Решите неравенство:

Приложения:

Ответы

Ответ дал: serjiof
0

Ответ:

Пошаговое объяснение: попробую я предложить решение. В файле.

Приложения:
Вас заинтересует