• Предмет: Математика
  • Автор: darenavdar
  • Вопрос задан 8 лет назад

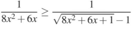
иррациональное неравенство, 10 класс

Приложения:

Ответы

Ответ дал: Zeweary
0

Ответ:

Х Є (-3/4, -1/2] [-1/4, 0)

Пошаговое объяснение:

Вас заинтересует