• Предмет: Химия
  • Автор: yanakov14
  • Вопрос задан 8 лет назад

помогите, очень срочно даю 25 баллов

Приложения:

Ответы

Ответ дал: stalker16001
0

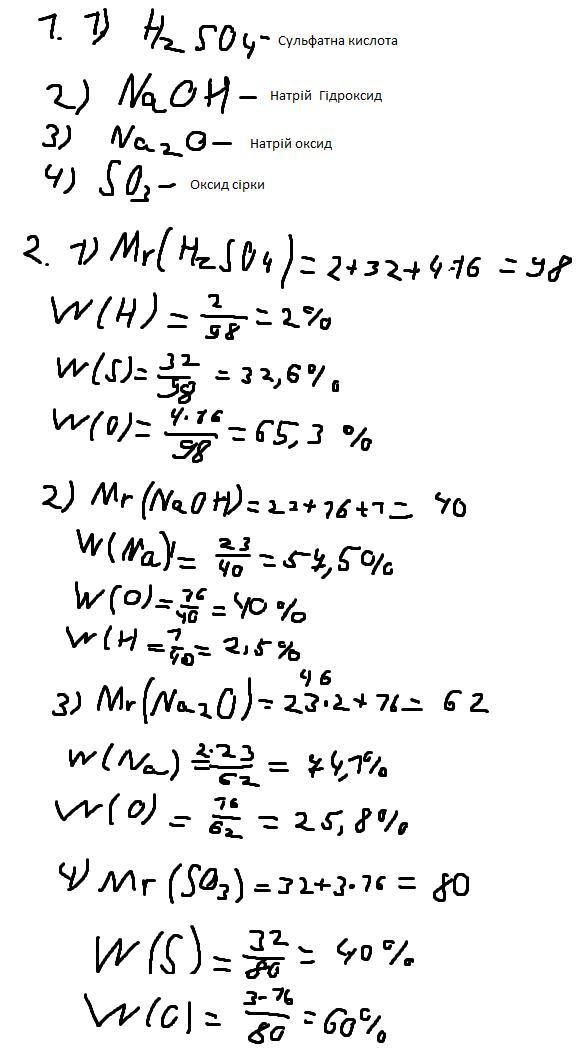
Ответ:Можеш не дякувати)

Объяснение:

Приложения:
Ответ дал: yanakov14
0
Сталкер тобі лайк
Вас заинтересует