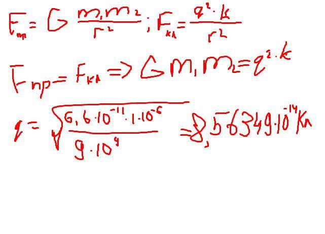
Дано дві кульки масою 1 г кожна. Який заряд треба надати кожній із них, щоб сила їх взаємного відштовхування врівноважила гравітаційну силу притягання? Кульки перебувають у повітрі.
Ответы
Ответ дал:
0
Ответ:
q=5.56349*
Пояснение:
Приложения:

Вас заинтересует
2 года назад
3 года назад
3 года назад
8 лет назад
9 лет назад
9 лет назад