• Предмет: Алгебра
  • Автор: aigaakaba666
  • Вопрос задан 8 лет назад

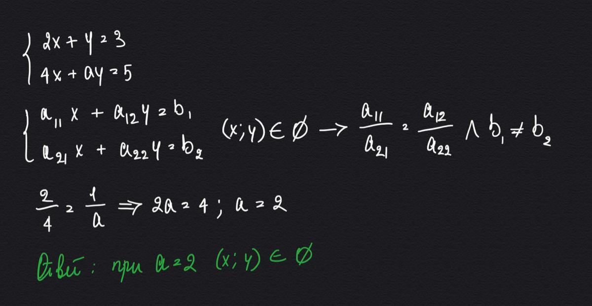
при якому значенні а система рівнянь 2х+у=3 4х+ау=5 не має розв'язків?​

Ответы

Ответ дал: vladbaranov201p67bwg
0
Решение внизу на фото
Приложения:
Вас заинтересует