• Предмет: Математика
  • Автор: xxgggi
  • Вопрос задан 2 года назад

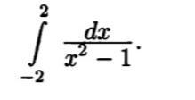
Вычислить несобственный интеграл или установить его расходимость:

Приложения:

Ответы

Ответ дал: Аноним
2

Решение на картинке.

Приложения:

igorShap: Неверно вычислен средний интеграл. У него 2 особые точки -1 и 1. А значит прежде, чем вычислять интеграл, его, в свою очередь, нужно было разбить на 2 интеграла.
Аноним: ну средний можно убрать.
Аноним: да, исправлю сейчас
igorShap: Как это Вы так лихо его убираете? Он 0 не равен)
igorShap: Он расходится, и благодаря этому исходный интеграл будет сходиться
igorShap: Обратите внимание: функция подынтегральная четная
Аноним: исправлено
Вас заинтересует