Ответы
Ответ дал:
0
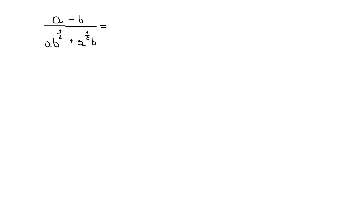
a - b (a^(1/2)+b^(1/2))*(a^(1/2)-b^(1/2))
---------------------------------------------- = ---------------------------------------------------- =
a^(1/2)*b^(1/2)*(a^(1/2)+b^(1/2)) a^(1/2)*b^(1/2)*(a^(1/2)+b^(1/2))
a^(1/2) - b^(1/2)
= -----------------------
a^(1/2)*b^(1/2)
---------------------------------------------- = ---------------------------------------------------- =
a^(1/2)*b^(1/2)*(a^(1/2)+b^(1/2)) a^(1/2)*b^(1/2)*(a^(1/2)+b^(1/2))
a^(1/2) - b^(1/2)
= -----------------------
a^(1/2)*b^(1/2)
Вас заинтересует
3 года назад
3 года назад
8 лет назад
11 лет назад
11 лет назад