• Предмет: Алгебра
  • Автор: positiv2013al
  • Вопрос задан 11 лет назад

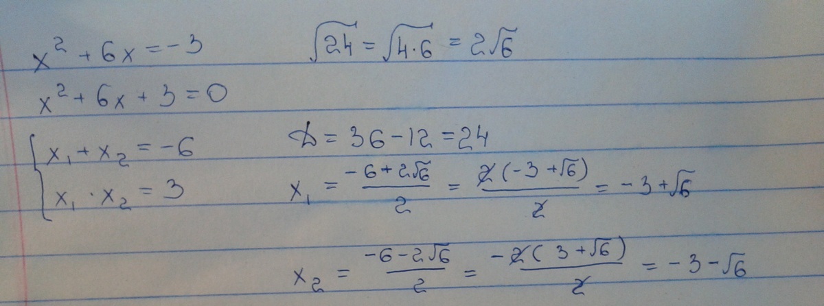
решите срочно! х в квадрате +6х=-3 ; х в квадрате +6х=-3

Ответы

Ответ дал: JulyRonni
0
Ответ: x = -3 + корень квадратный из 6; x = -3 - корень квадратный из 6
Приложения:
Вас заинтересует