• Предмет: Геометрия
  • Автор: vika7307
  • Вопрос задан 8 лет назад

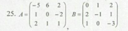
К заданым матрица А и В найти:
С1= А*В и найти
С2=В*А

Приложения:

Ответа на этот вопрос пока нет. Попробуйте найти его через форму поиска.

Вас заинтересует