• Предмет: Математика
  • Автор: 25hjoerf10
  • Вопрос задан 8 лет назад

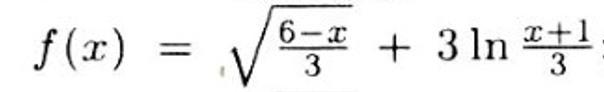
Найти производную функции.
Нужен ответ, как на 2-ом фото.

Приложения:

Ответы

Ответ дал: sharofat0
0

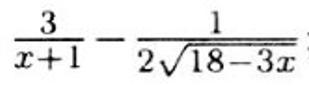
Ответ:

Производная сложной функции.

Приложения:
Вас заинтересует