СРОЧНО!!!
Выразите:
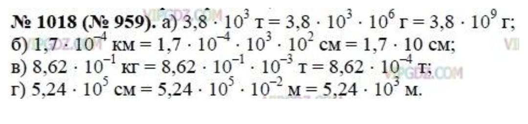
а) 3,8×10в3степени т в граммах;
б) 1,7×10в-4степени км в сантиметрах;
в) 8,62 × 10в-1степени кг в тоннах;
г) 5,24. 10в5степени см в метрах.
Ответы
Ответ дал:
3
Ответ:
Держи......... Надеюсь подайдет....
Приложения:

Вас заинтересует
1 год назад
1 год назад
1 год назад
1 год назад
3 года назад
3 года назад
8 лет назад
8 лет назад