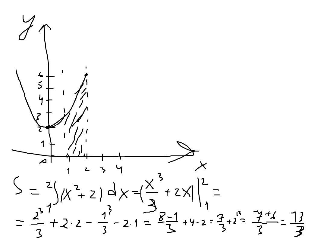
Запишите в виде определенного интеграла площадь фигуры, ограниченной линиями y =x^2 + 2, x = 1, x = 2, y = 0 и вычислите ее.
Ответы
Ответ дал:
2
Ответ:
13/3
Пошаговое объяснение:
Приложения:

Вас заинтересует
1 год назад
1 год назад
1 год назад
3 года назад
3 года назад
8 лет назад