• Предмет: Математика
  • Автор: Аноним
  • Вопрос задан 2 года назад

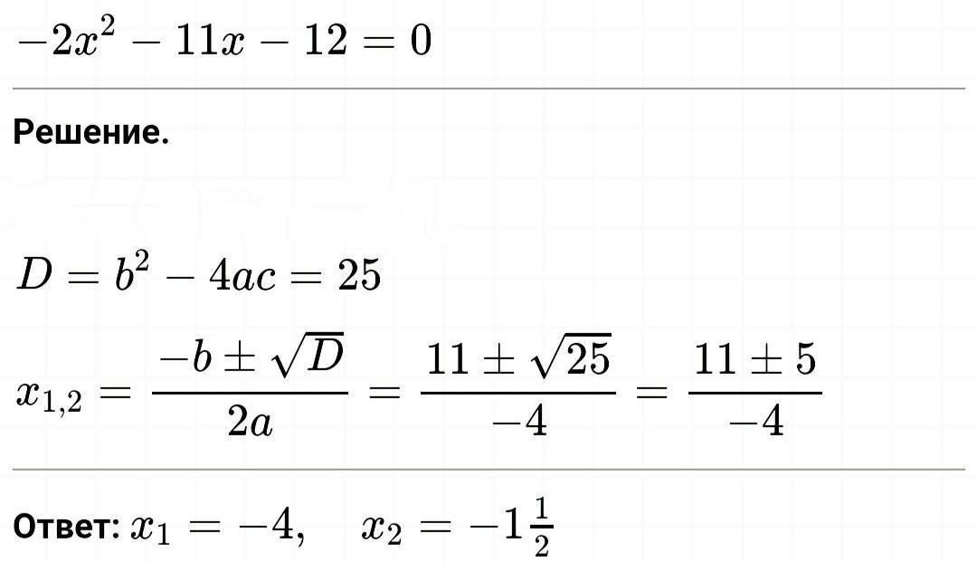
решите с помощью дискримината
-2х^2-11x-12

Ответы

Ответ дал: KennyLans
0

//////////////////////

Приложения:
Вас заинтересует