• Предмет: Алгебра
  • Автор: iroda1rug4
  • Вопрос задан 2 года назад

Пожалуйста. Мне надо подробное решение.

Приложения:

Ответы

Ответ дал: aastap7775
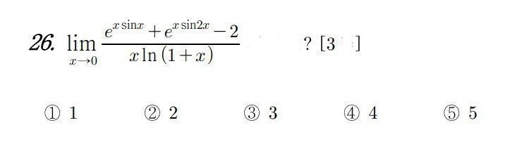
1

Применим эквивалентные преобразования:

e^x - 1 \approx x => e^x \approx x +1 => e^{xsinx} \approx xsinx + 1; e^{xsin2x} \approx xsin2x+1\\ln(1+x) \approx x\\

Данные утверждения имеют место быть при стремлении аргумента к  0.

Предел примет вид:

\lim_\limit{n \to 0} \frac{xsinx+1+xsin2x+1-2}{x^2} =     \lim_\limit{n \to 0} \frac{xsinx(1+2cosx)}{x^2} = 1 + 2cos0 = 3\\  Answer: 3

Вас заинтересует