Ребяяят пожааалуйста помогите решить эти примеры , я даже понятие не имею как это решать, поэтому я очень нуждаюсь в вашей помощи, помогите прошу вас.
Приложения:

Ответы
Ответ дал:
0
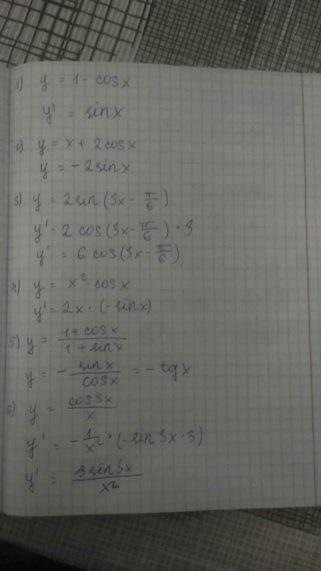
Ответ:
Объяснение: Всё вычисляется по таблице производных.
Приложения:


lelyakim1997:
Блин спасибо вам огромное))) вы меня спасли.
Вас заинтересует
1 год назад
1 год назад
3 года назад