• Предмет: Алгебра
  • Автор: karinaovsanka
  • Вопрос задан 2 года назад

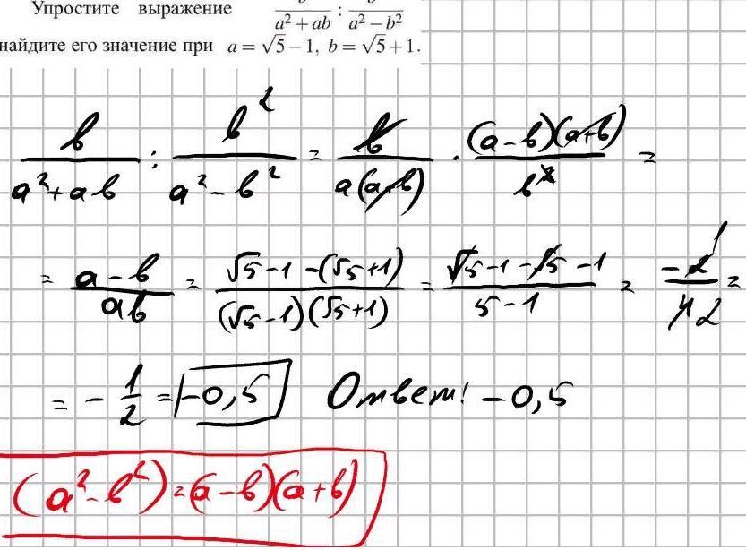
алгебра пожалуйста помогите плиз

Приложения:

Ответы

Ответ дал: Аноним
1

Ответ:

10) 16

11)  1,7

12) -0,5

Объяснение:

Приложения:
Вас заинтересует