• Предмет: Алгебра
  • Автор: karinaovsanka
  • Вопрос задан 2 года назад

помогите пожалуйста
9 номер делать ненадо

Приложения:

Ответы

Ответ дал: Аноним
1

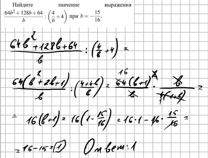
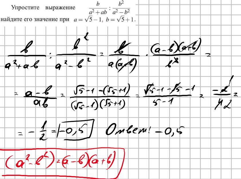
Ответ:

2)-0,5

3)1

4)0,8

Объяснение:

Приложения:
Вас заинтересует