Ответы
Ответ дал:
0
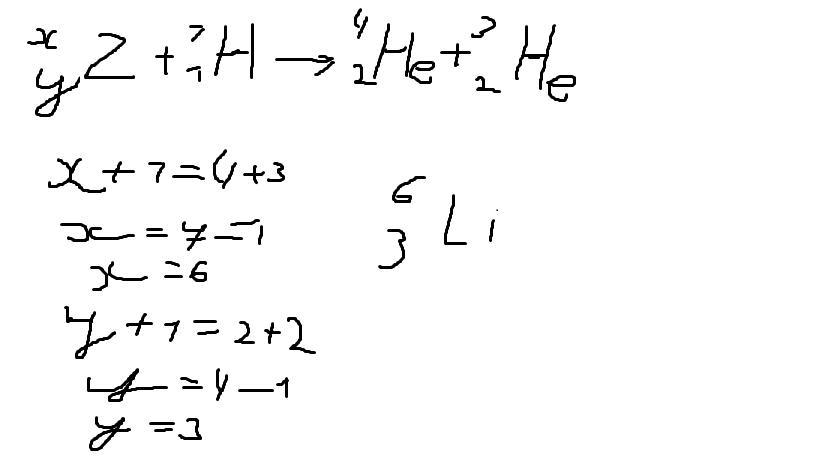
По закону сохранения массы и заряда сумма массовых и зарядовых чисел постоянна
х+1=4+3
х=6- масс.число
y+1=2+2
y=3- заряд.число
Т.е. литий
Ответ : 2 вар.
Ответ дал:
0
Ответ: 2)
Объяснение:
Приложения:

Вас заинтересует
2 года назад
3 года назад
3 года назад
8 лет назад
8 лет назад
9 лет назад