• Предмет: Математика
  • Автор: Аноним
  • Вопрос задан 2 года назад

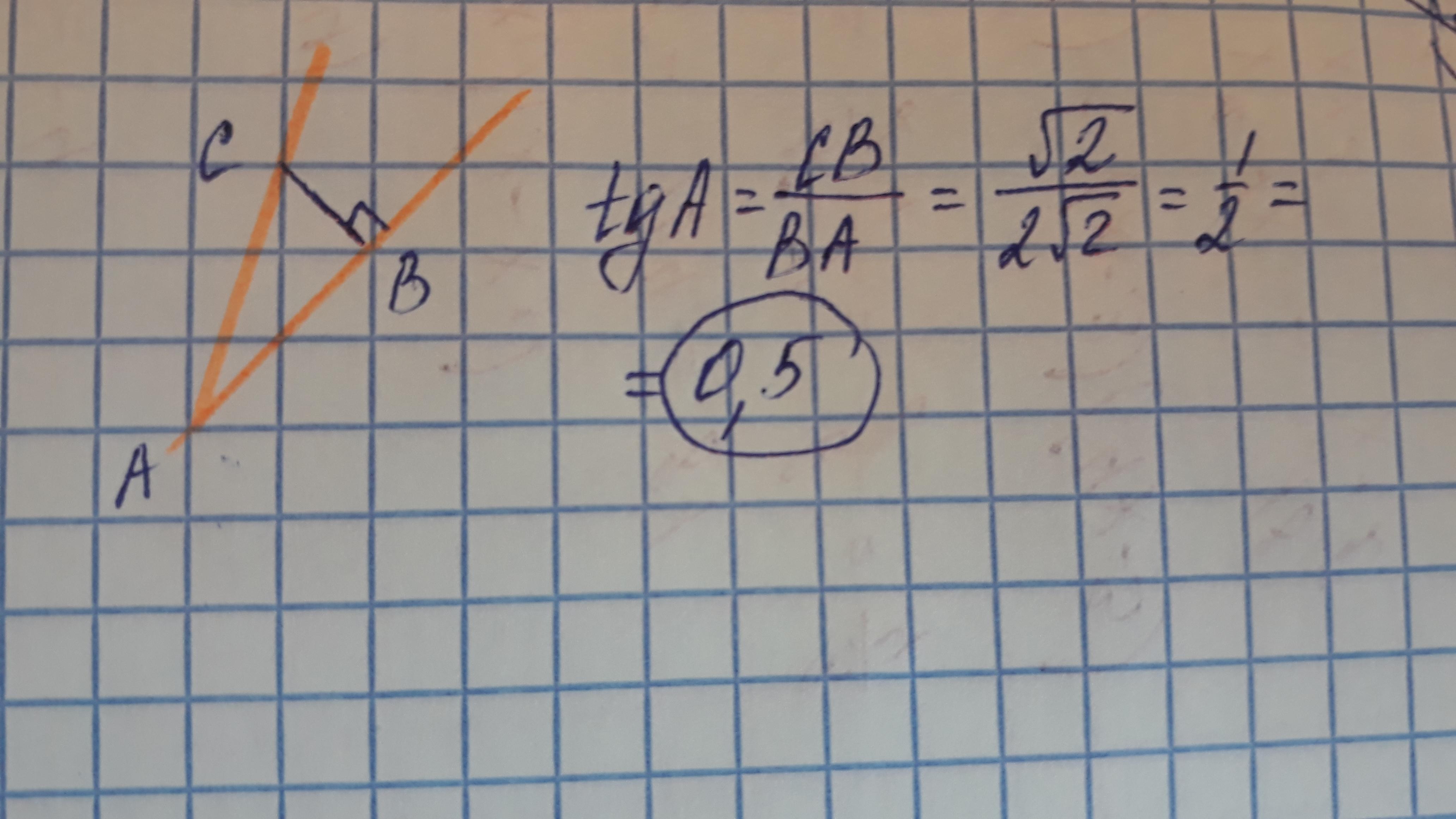
ОЧЕНЬ СРОЧНО !!!!!!! Найти тангенс

Приложения:

Ответы

Ответ дал: PrЯnicheg
1

Решение ниже на листочке

Приложения:

truu: как стать таким как ты
Ответ дал: gal4enok0071
1
Как то так! Удачи!!!
Приложения:
Вас заинтересует