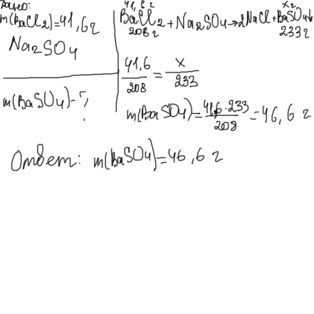
К раствору, содержащему барий хлорид массой 41,6 г, прилили раствор, содержащий натрий сульфат. Рассчитайте массу полученного осадка.
Ответы
Ответ дал:
2
Ответ: масса осадка 46,6 г
Приложения:

Вас заинтересует
1 год назад
1 год назад
1 год назад
3 года назад
3 года назад
8 лет назад