ДАЮ 20 баллов пожалуйста помогите с задачей геометрия 7 класс
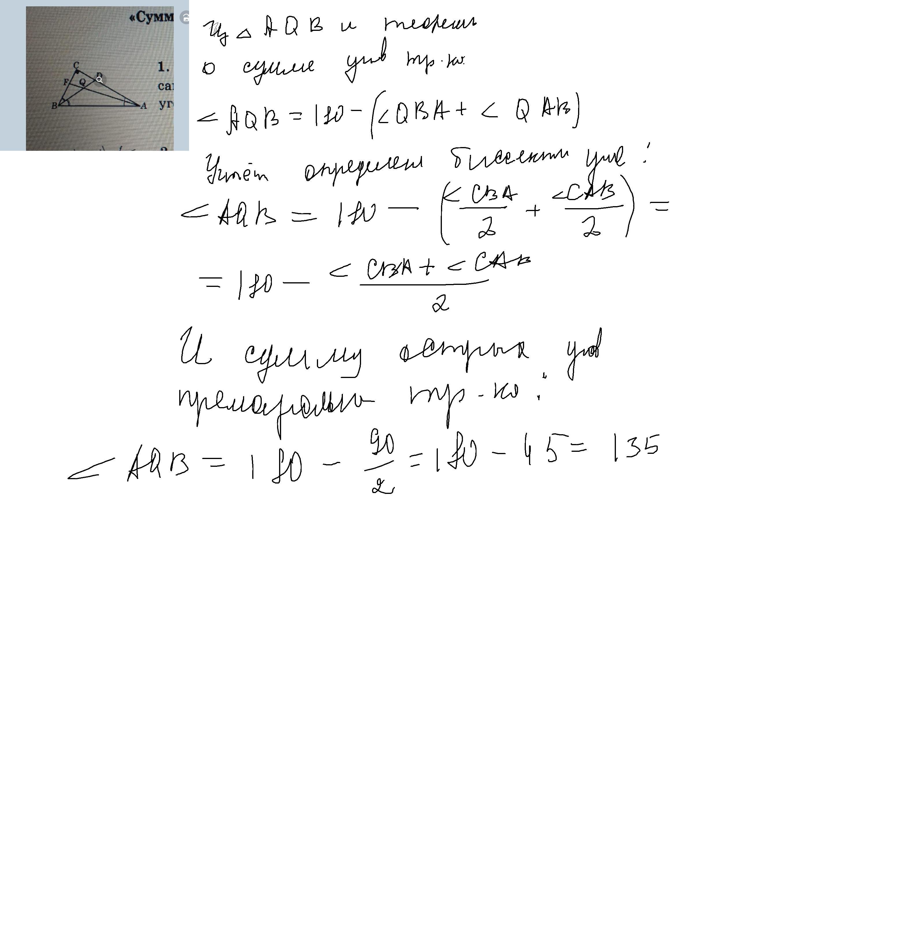
Найдите угол AQB между биссектрисами острых углов прямоугольного треугольника АВС
Рисунок сверху
Приложения:

Ответы
Ответ дал:
3
Ответ:
Объяснение:Найдите угол AQB между
Приложения:

Вас заинтересует
1 год назад
1 год назад
1 год назад
1 год назад
3 года назад