• Предмет: Алгебра
  • Автор: tmhacker63
  • Вопрос задан 2 года назад

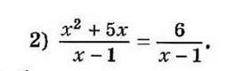
Помогите пожалуйста решить Это Уравнение

Приложения:

Ответы

Ответ дал: Evgenia4836
0

Ответ:

x=-6

Объяснение:

x≠1

x²+5x-6=0

D= 25+24= 49

x1= (-5-7)/2= -6

x2= (-5+7)/2= 1 - не корень

Вас заинтересует