• Предмет: Математика
  • Автор: itiswolf72
  • Вопрос задан 2 года назад

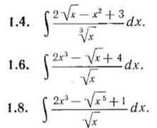
ИНТЕГРАЛЫ... Отдаю последние баллы. На 2 задачи мне некто не ответил. ПОМОГИТЕ ПОЖАЛУЙСТА

Приложения:

Ответы

Ответ дал: volnairyna
1

Пошаговое объяснение:

здесь представлено решение задания 1.4., 1.6. А вот 1.8 уже не смогу решить(

Приложения:

itiswolf72: а еще 2 можно?
volnairyna: попробую
itiswolf72: спасибо
itiswolf72: спасибо!!
Вас заинтересует