• Предмет: Геометрия
  • Автор: 203030282828200
  • Вопрос задан 2 года назад

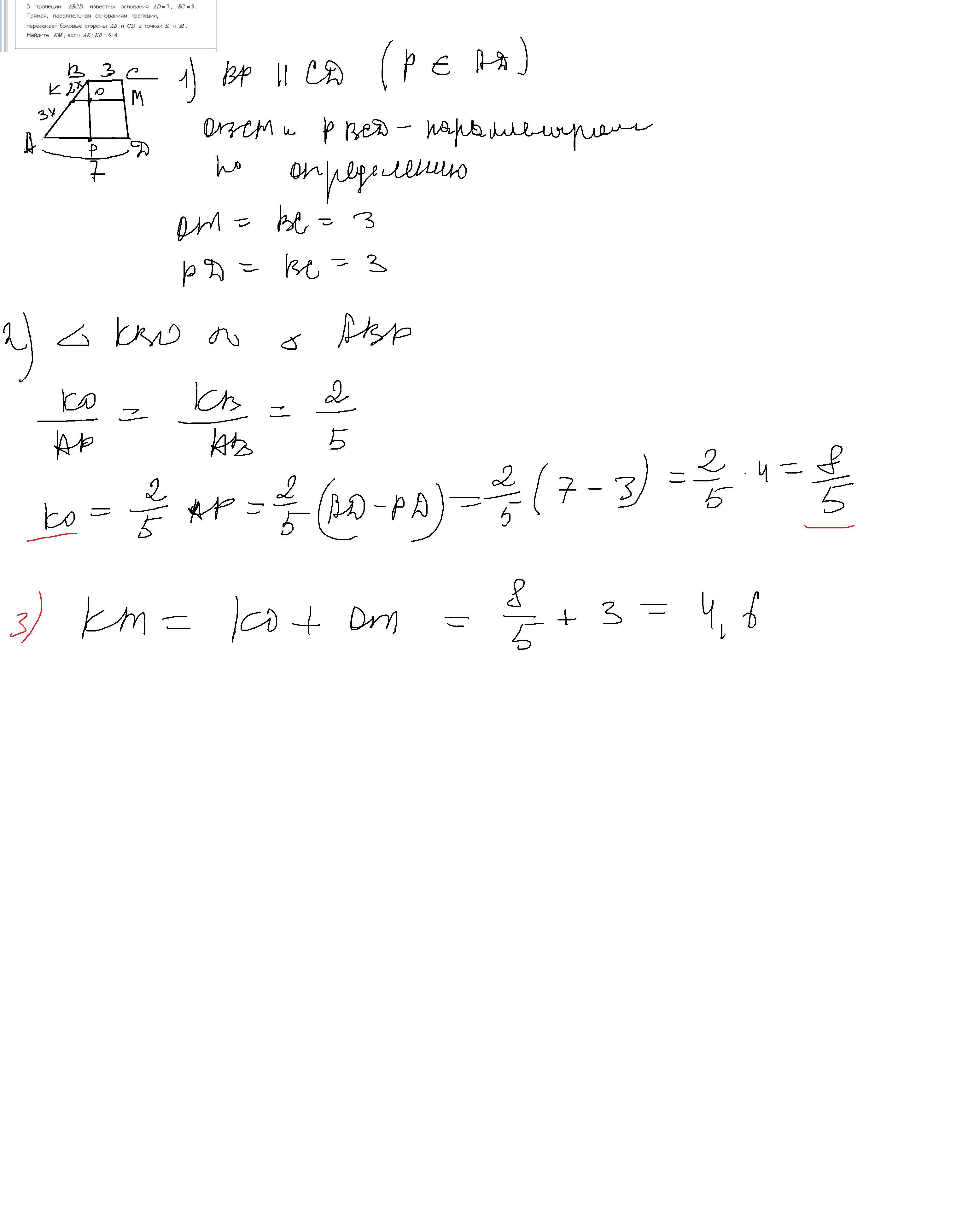
Помогите решить задачу пожалуйста!

Приложения:

Ответы

Ответ дал: vikll
1

Ответ:

Объяснение:Помогите решить задачу пожалуйста!

Приложения:

Аноним: привіт можеш допомогти з геометрією пж благаю вас
Вас заинтересует