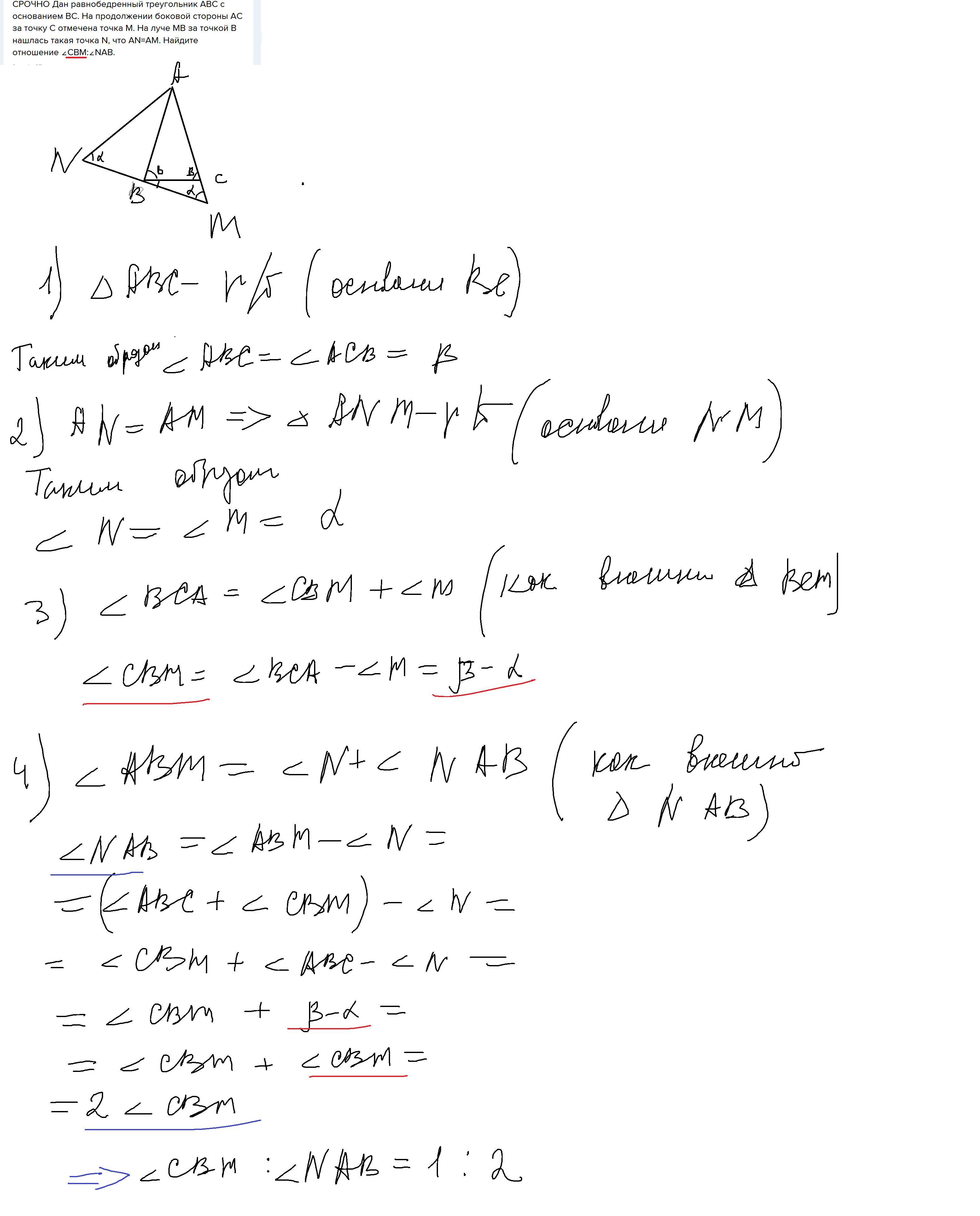
CРОЧНО Дан равнобедренный треугольник ABC с основанием BC. На продолжении боковой стороны AC за точку C отмечена точка M. На луче MB за точкой B нашлась такая точка N, что AN=AM. Найдите отношение ∠CBM:∠NAB.
Ответы
Ответ дал:
7
Ответ:
Объяснение:CРОЧНО Дан равнобедренный треугольник ABC с основанием BC. На продолжении боковой стороны AC
Приложения:

Вас заинтересует
1 год назад
1 год назад
1 год назад
3 года назад
3 года назад
8 лет назад
8 лет назад