• Предмет: Алгебра
  • Автор: platova28
  • Вопрос задан 11 лет назад

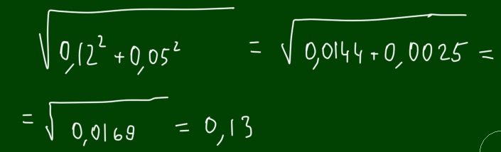
Корень из 0,12^2+0,05^2

Ответы

Ответ дал: nikolac
0
Решение на картинке.
Приложения:
Ответ дал: Parksis
0
0,13 корень это суммы
Приложения:
Вас заинтересует