Ответы
Ответ дал:
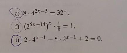
0
Объяснение:
,..,............ ......
Приложения:

dkskskowowo:
а вы уверены, что это правильное решение? в программах совсем другой ответ :(
Вас заинтересует
1 год назад
3 года назад
3 года назад
8 лет назад