• Предмет: Математика
  • Автор: happy123456
  • Вопрос задан 2 года назад

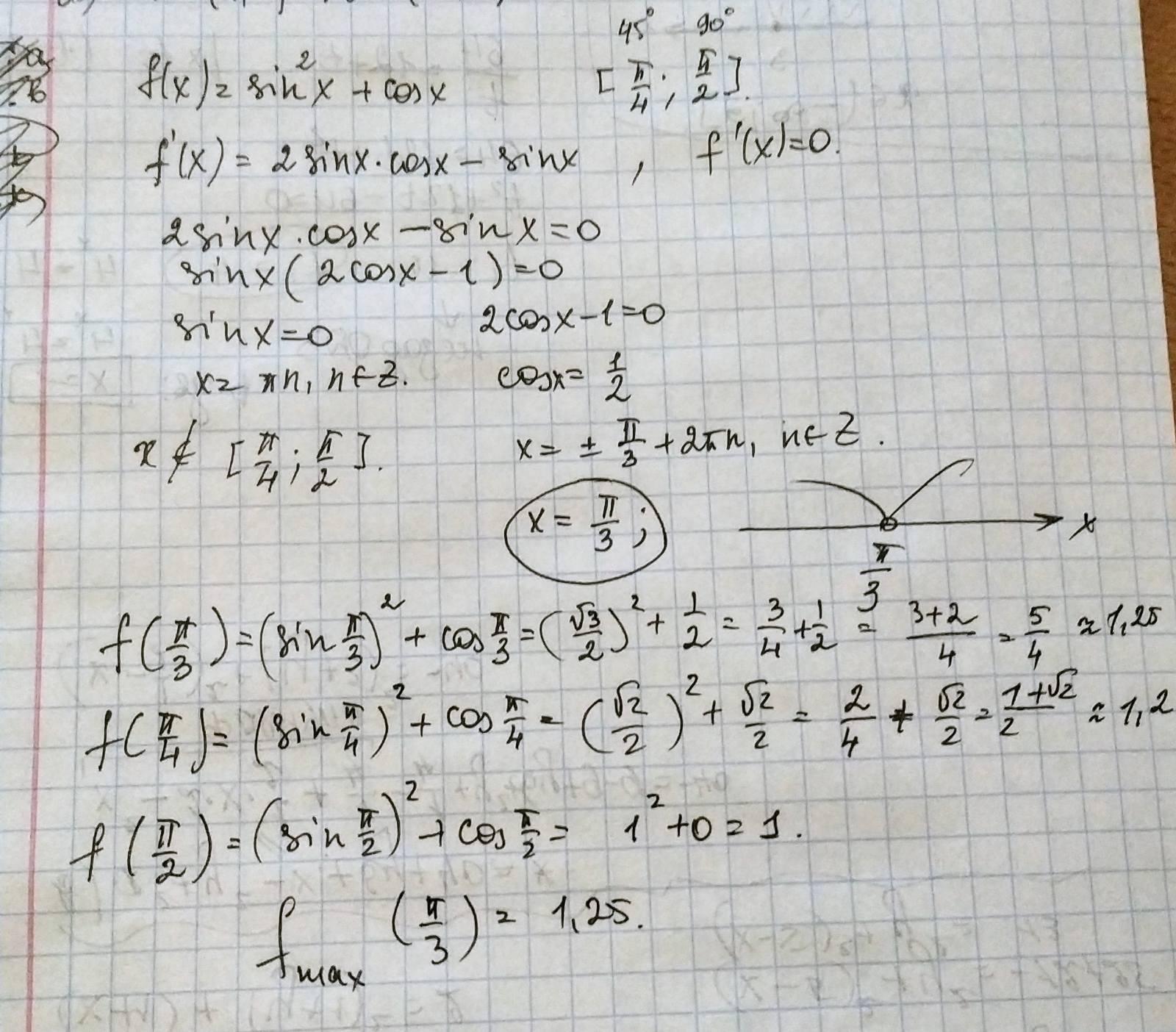
Найдите наибольшее значение функции f(x)= sin^2x+cosx на промежутке [pi/4;pi/2]

Ответы

Ответ дал: leramatvienko1994
1

Відповідь:

Покрокове пояснення:

Приложения:
Вас заинтересует