Ответы
Ответ: x=6.5
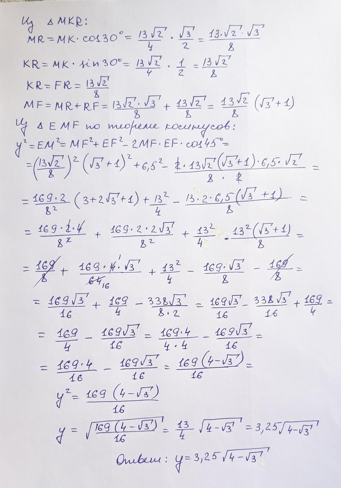
y = 13*√(4-√3) /4 = 3.25 * √(4-√3)
Объяснение:
Проведем высоту KR (смотрите рисунок )
KR= MK*sin(30°) = 13*√2/8
RM =MK*cos(30°) = 13*√6/8
RF=KR = 13*√2/8
KF = RK/sin(45°) = RK*√2 =13/4
x=2*KF=13/2 = 6,5
MF=RM +RF = 13*√2 * ( 1+√3)/8
Теперь найдем y .
Первый способ .
По теореме косинусов : (cos(45°) =√2/2 )
y^2 = (13/2)^2 + (13*√2*(1+√3)/8 )^2 -2* 13/2 * 13*√2*(1+√3)/8 * √2/2
32*y^2 = 13^2 *( 8 + (1+√3)^2 -4*(1+√3) ) =
= 13^2 * ( 8 -2*√3)
16*y^2 = 13^2 *( 4-√3)
y = 13*√(4-√3) /4 = 3.25 * √(4-√3)
Второй способ .
Проведем высоту MS
∠KMS = 90° - (180° -( 180° - (45°+30°) ) ) = 15°
∠FSM =30°+15° = 45°
То есть Δ MSF - равнобедренный
MS=SF = MF*cos(45°) =MF/√2 =13*(1+√3)/8
ES = x -SF = (13/2 - 13*(1+√3)/8 ) = 13/8 * ( 3-√3)
По теореме Пифагора :
y^2 =MS^2 +ES^2
y^2 = (13/8)^2 * ( (1+√3)^2 +(3-√3)^2 ) = (13/8)^2 *( 16 -4*√3)
y^2 = (13/4)^2 * (4-√3)
y = 13/4 * √(4-√3) = 3.25 * √(4-√3) - сходится.

Ответ:
Найти х и у............

